• Помогите составить уравнение нормали и касательной к данной точке с абсциссой х0

    question img

Ответы 2

  • помогите решить, пожалуйста, если не затруднит https://znanija.com/task/30700395
  • Уравнение касательной к графику в точке x_0 выглядит так:

    y_k - y_0 = y'(x_0)(x - x_0).

    Тогда уравнение нормали выглядит y_n - y_0 = -\frac{1}{y'(x_0)} (x - x_0).

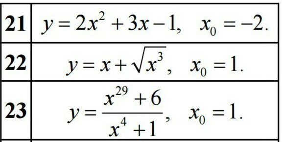
    21

    y = 2x^2 + 3x - 1, x_0 = -2\\y' = 4x + 3\\y_0 = y(x_0) = 1\\y'(x_0) = -5\\y_k = -5(x + 2) + 1 = -5x - 9\\y_n = \frac{x + 7}{5}

    22

    y = x + \sqrt{x^3}, x_0 = 1\\y' = 1 + \frac{3\sqrt{x}}{2}\\y_0 = y(x_0) = 2\\y'(x_0) = \frac{5}{2}\\y_k = \frac{5x - 1}{2}\\y_n = -\frac{2x - 12}{5}

    23

    y = \frac{x^{29} + 6}{x^4 + 1}, x_0 = 1\\y' = \frac{4x^3(x^{29} + 6) - 29x^{28}(x^4 + 1)}{(x^4 + 1)^2}\\y_0 = y(x_0) = \frac{7}{2}\\y'(x_0) = -\frac{30}{4}\\y_k = -\frac{30x - 44}{4}\\y_n = \frac{4x + 101}{30}

  • Добавить свой ответ

Еще вопросы

Войти через Google

или

Забыли пароль?

У меня нет аккаунта, я хочу Зарегистрироваться

How much to ban the user?
1 hour 1 day 100 years