• Помогите решить, пожалуйста? Ну, что бы по-хорошему, с ОДЗ там, как его получают и прочее.
    Спасибо за потраченное время. ;)

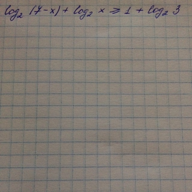
    question img

Ответы 1

  • одз 7-x>0  x<7  ; х >0

    ㏒₂(7-x)+ ㏒₂x ≥ 1 +㏒₂3

    ㏒₂(7-x)*x ≥ ㏒₂2 +㏒₂3

    ㏒₂(7-x)*x ≥ ㏒₂2*3

    ㏒₂(7x-x²) ≥ ㏒₂ 6

    7x-x² ≥ 6

    x²-7x+6 ≤ 0

    D=49-24 =25

    x=(7+5)/2=6

    x=(7-5)/2=1

          +         -               +

    -----------1----------6----------

    x∈[1;6]

  • Добавить свой ответ

Войти через Google

или

Забыли пароль?

У меня нет аккаунта, я хочу Зарегистрироваться

How much to ban the user?
1 hour 1 day 100 years