• Помогите с алгеброй.СРОЧНО 45 баллов
    тема Степень числа. 8 класс.

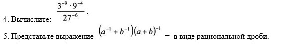
    question img
    question img

Ответы 2

  • Ответ на фото///////////////

    answer img
    • Автор:

      faith31
    • 6 лет назад
    • 0
  • Вот все ответы.  Надеюсь помогла

    answer img
  • Добавить свой ответ

Войти через Google

или

Забыли пароль?

У меня нет аккаунта, я хочу Зарегистрироваться

How much to ban the user?
1 hour 1 day 100 years