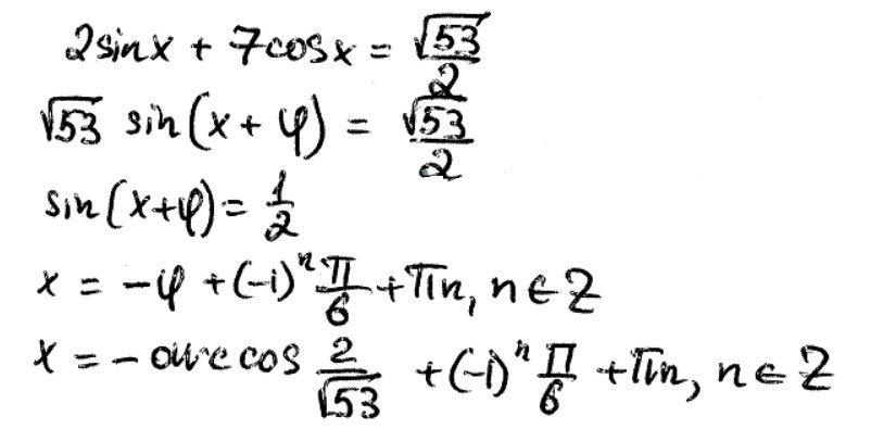
• 2sin(x) + 7cos(x) = √53/2

    Почему в ответе Ф равен arccos 2/√53, когда по формуле там должен быть arcsin 7/√53 ???

    P.S. Решается методом вспомогательного угла

    question img

Ответы 2

  • Точно... Даже не по себе как то стало( Спасибо
    • Автор:

      jayvion
    • 6 лет назад
    • 0
  • Я тебе один умный вещь скажу: названный тобой арккосинус и арксинус это один и тот же угол. Да.

    Например, арккосинус одной второй и арксинус корня из 3 пополам это один и тот же угол 60 градусов.

  • Добавить свой ответ

Войти через Google

или

Забыли пароль?

У меня нет аккаунта, я хочу Зарегистрироваться

How much to ban the user?
1 hour 1 day 100 years