• 20 баллов очень легкая задача !СРОЧНО ! СПАСИБО!
    желательно напишите на листочке

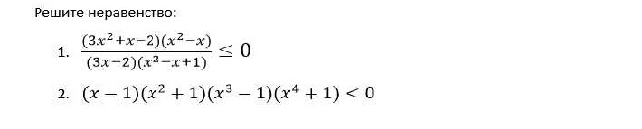
    question img

Ответы 6

  • что именно?( skype? viber?)
    • Автор:

      crawford
    • 6 лет назад
    • 0
  • имо есть?
    • Автор:

      vazquez
    • 6 лет назад
    • 0
  • viber
  • имо нет
    • Автор:

      grace13
    • 6 лет назад
    • 0
  • Странно от вас получить вот такое сообщение: " почему бы вам в команду Знатоков?". : )
  • ...........................

    answer img
    • Автор:

      jacobfrft
    • 6 лет назад
    • 0
  • Добавить свой ответ

Еще вопросы

Войти через Google

или

Забыли пароль?

У меня нет аккаунта, я хочу Зарегистрироваться

How much to ban the user?
1 hour 1 day 100 years