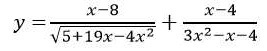
• Как найти область определения функции в подобном неравенстве?

    question img

Ответы 1

  • ОДЗ:

    1. 5+19x-4x²>0  |×(-1)

    4x²-19x-5<0

    4x²-19x-5=0    D=441     √D=21

    x₁=5       x₂=-1/4   ⇒

    (x-5)(x+1/4)<0

    -∞_____+_____-1/4____-____5_____+_____+∞

    x∈(-1/4;5)

    2. 3x²-x-4≠0   D=49     √D=7

    x₁≠-1        x₂≠4/3≠1¹/₃   ⇒

    Ответ: x∈(-1/4;1¹/₃)U(1¹/₃;5).

  • Добавить свой ответ

Войти через Google

или

Забыли пароль?

У меня нет аккаунта, я хочу Зарегистрироваться

How much to ban the user?
1 hour 1 day 100 years