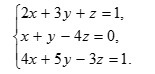
• В задаче систему уравнений записать в матричной форме и решить ее с помощью обратной матрицы:

    question img

Ответы 2

  • Спасибо
  • .............................
    answer img
    • Автор:

      kevinyuua
    • 6 лет назад
    • 0
  • Добавить свой ответ

Войти через Google

или

Забыли пароль?

У меня нет аккаунта, я хочу Зарегистрироваться

How much to ban the user?
1 hour 1 day 100 years