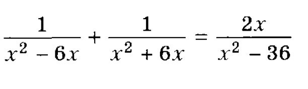
• Подскажите пожалуйста, как решать такие уравнения.. Что надо делать? 8 класс

    question img

Ответы 4

  • Блин, точно совсем забыла, спасибо!
  • Спасибо!)
  • \frac{1}{x^{2}-6x }+\frac{1}{x^{2}+6x } =\frac{2x}{x^{2}-36 }\\\\\frac{1}{x(x-6)}+\frac{1}{x(x+6)}-\frac{2x}{(x-6)(x+6)}=0\\\\\frac{x+6+x-6-2x^{2} }{x(x-6)(x+6)}=0\\\\\left \{ {{-2x^{2}+2x=0 }\atop {x(x-6)(x+6)eq0 }} ight.\\\\\left \{ {{x^{2}-x=0 } \atop {xeq 0;xeq-6;xeq6}} ight.\\\\\left \{ {{x(x-1)=0} \atop {xeq0;xeq -6;xeq6}} ight.\\\\x-1=0\\\\x=1

    • Автор:

      nora46
    • 6 лет назад
    • 0
  • Перво-наперво ищешь ОДЗ, то есть исключаешь те значения, при которым знаменатель обращается в ноль:

    x^2-36eq 0\\xeq б\sqrt{36} \\xeq =-6;xeq 6;xeq0.

    Затем приводим левую и правую часть к общему знаменателю:

    \frac{1}{x^2-6x} +\frac{1}{x^2+6x} =\frac{2x}{x^2-36} \\\frac{1}{x(x-6)} +\frac{1}{x(x+6)} =\frac{2x}{x^2-36}\\\frac{x+6+x-6}{x(x-6)(x+6)} =\frac{2x^2}{x(x^2-36)}\\\frac{2x}{x(x^2-36)} =\frac{2x^2}{x(x^2-36)}.

    Потом и левую и правую часть умножаем на этот знаменатель, чтобы избавиться от него, далее находим корни получившегося уравнения:

    2x=2x^2\\2x^2-2x=0\\2x(x-1)=0\\x_1=0;x_2=1.

    Возвращаемся к ОДЗ и проверяем, не равняются ли корни уравнения его значениям. Если да, то исключаем их. В нашем случае - это ноль. Исключив его, мы получим 1. Это и есть ответ.

  • Добавить свой ответ

Войти через Google

или

Забыли пароль?

У меня нет аккаунта, я хочу Зарегистрироваться

How much to ban the user?
1 hour 1 day 100 years