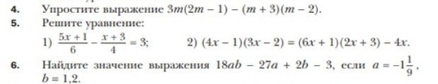
• решите уравнение, под заданием 5, прошу, пожалуйста, 7 класс

    question img

Ответы 5

  • а под 2) можешь решить?!
  • можешь или нет?
    • Автор:

      sean953
    • 6 лет назад
    • 0
  • могу
  • спасибо, уже не надо❤❤❤
    • Автор:

      lady31
    • 6 лет назад
    • 0
  • \frac{5x+1}{6} - \frac{x+3}{4} =3\\ 2(5x+1)-3(x+3)=36\\ 10x+2-3x-9=36\\ 7x-7=36\\ 7x=43\\ x=\frac{43}{7}

    • Автор:

      indiab2ol
    • 6 лет назад
    • 0
  • Добавить свой ответ

Войти через Google

или

Забыли пароль?

У меня нет аккаунта, я хочу Зарегистрироваться

How much to ban the user?
1 hour 1 day 100 years