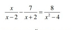
• Укажите область допустимых значений уравнения;

    b) Приведите рациональное уравнение к квадратному уравнению;

    c) Найдите решения рационального уравнения.

    question img

Ответы 6

  • Откуда появились числа в дискрименанте? - 4*6 и 1
  • И почему 5 в квадрате
    • Автор:

      skyeo1yd
    • 6 лет назад
    • 0
  • Sagaidakkristina, тупишь это формула для нахождение дискриминанта, числа взяты с задачи ax^2-bx+c=0
  • Ну можно было написать (–5)^2, но это ведь то же самое, что 5^2.
  • Это числа из формулы D=b^2–4ac, где a, b и c — коэффициенты квадратного уравнения ax^2+bx+c=0
  • Если появятся какие-нибудь вопросы — задавайте.

    Если моё решение оказалось полезным, смело отмечайте его как «лучший ответ».

    answer img
  • Добавить свой ответ

Войти через Google

или

Забыли пароль?

У меня нет аккаунта, я хочу Зарегистрироваться

How much to ban the user?
1 hour 1 day 100 years