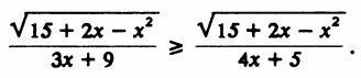
• Пробовал переносить все влево и выносить корень как множитель. Ответы вышли x>=5, -3 , 4. С ответами сверялся, там промежуток (-3, - 5/4) U [4, +бесконечность)

    Был бы очень признателен за помощь!

    question img

Ответы 1

  • Решение задания приложено

    answer img
    • Автор:

      tobías42
    • 6 лет назад
    • 0
  • Добавить свой ответ

Войти через Google

или

Забыли пароль?

У меня нет аккаунта, я хочу Зарегистрироваться

How much to ban the user?
1 hour 1 day 100 years