• Умоляю помогите пожалуйста ооочень срочно!!!!!со всеми заданиями

    question img

Ответы 1

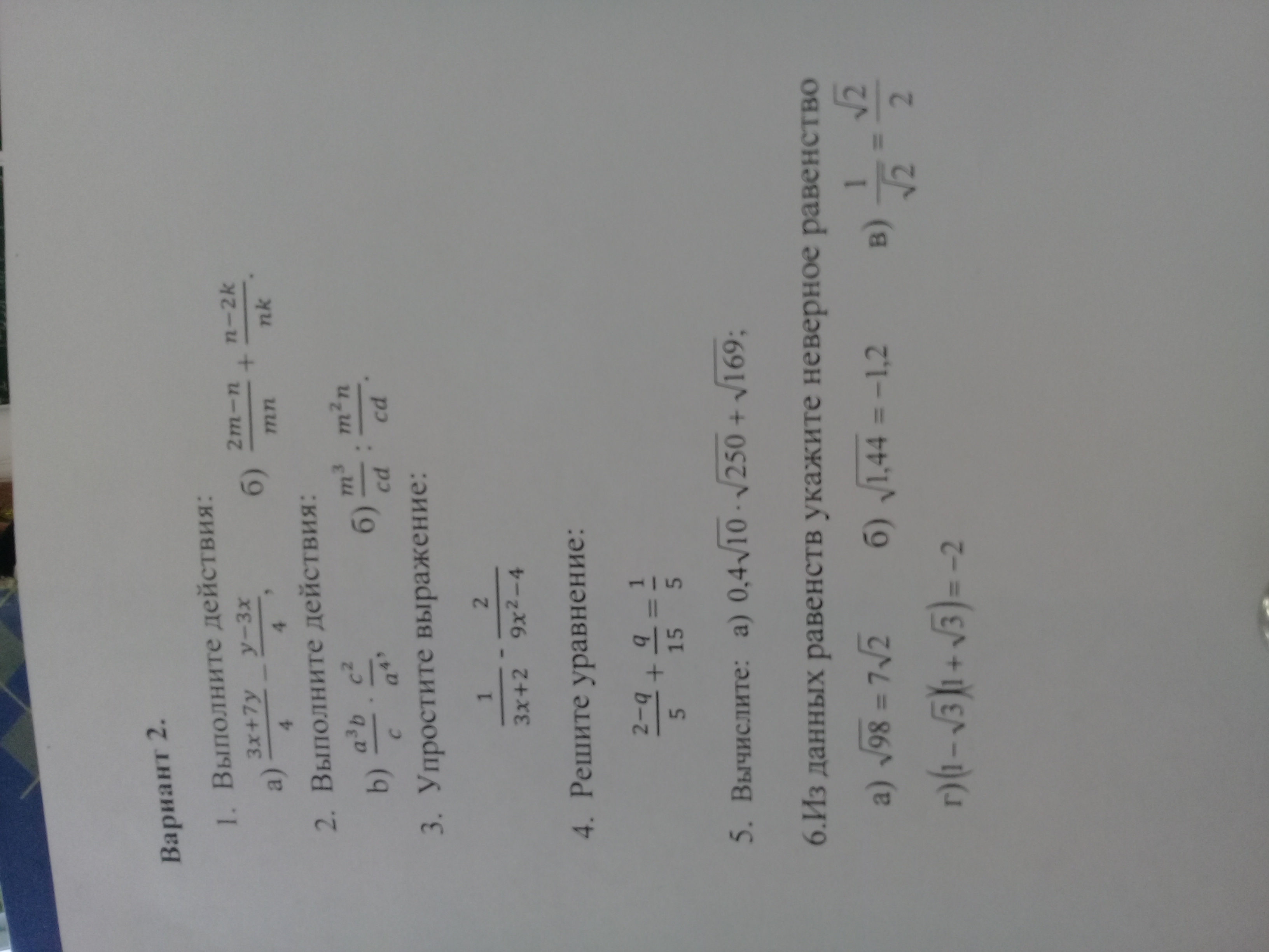
  • 1)а ответ (3x+3y)/2

    1)б ответ (m-k)/mk

    2)bc/a

    m/n

    (3x-4)/(9x^2-4)

    4)q=3/7

    5) 33

    6)б

    answer img
    • Автор:

      tessa69
    • 6 лет назад
    • 0
  • Добавить свой ответ

Войти через Google

или

Забыли пароль?

У меня нет аккаунта, я хочу Зарегистрироваться

How much to ban the user?
1 hour 1 day 100 years