• Найдите корень уравнения:
    Тема:показательные уравнения

    question img
    question img

Ответы 1

  • 6·2²ˣ+2²ˣ/2=104

    12·2²ˣ+2²ˣ=208

    13·2²ˣ=208

    2²ˣ=16

    2²ˣ=2⁴

    2x=4

    x=2

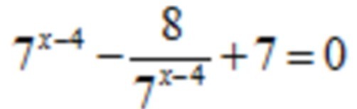
    обозначим 7ˣ⁻⁴=t

    t-8/t+7=0

    (t²-8+7t)/t=0 показательная функция всегда >0 и не равняется 0, значит

    t²+7t-8=0

    D=49+32=81

    t₁=(-7-9)÷2=-8   t₂=(-7+9)÷2=1

    7ˣ⁻⁴=-8   нет решения

    7ˣ⁻⁴=1   7ˣ⁻⁴=7⁰   x-4=0   x=4

    • Автор:

      jadynt8l2
    • 6 лет назад
    • 0
  • Добавить свой ответ

Войти через Google

или

Забыли пароль?

У меня нет аккаунта, я хочу Зарегистрироваться

How much to ban the user?
1 hour 1 day 100 years