• Выполните действие:

    p.s очень срочно нужно

    question img

Ответы 1

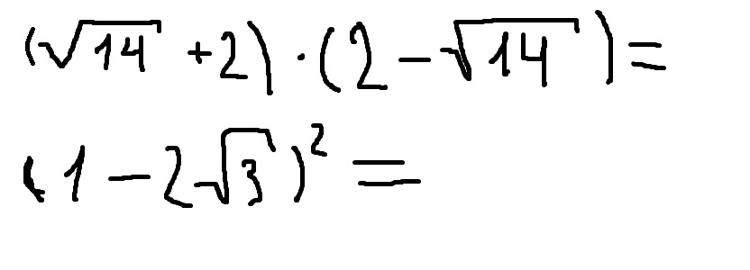
  • (\sqrt{14}+2)\cdot(2-\sqrt{14})=(2+\sqrt{14})\cdot(2-\sqrt{14})=2^2-(\sqrt{14})^2=4-14=-10\\\\(1-2\sqrt3)^2=1^2-2\cdot1\cdot2\sqrt3+(2\sqrt3)^2=1-4\sqrt3+12=13-4\sqrt3

  • Добавить свой ответ

Войти через Google

или

Забыли пароль?

У меня нет аккаунта, я хочу Зарегистрироваться

How much to ban the user?
1 hour 1 day 100 years