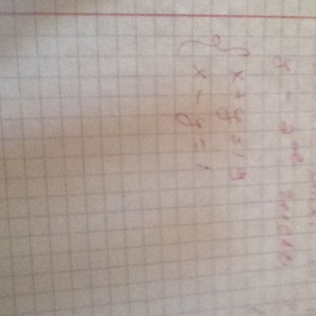
• Сумма двух чисел =19 одно из которых на 1 больше другого найдите эти числа
    X-1e число
    y-2е число

    question img

Ответы 2

  • Спасибо,а если можно есть решение с фигурными скобками?
  • все решил смотреть на рисунке
    answer img
    • Автор:

      rocky
    • 6 лет назад
    • 0
  • Добавить свой ответ

Войти через Google

или

Забыли пароль?

У меня нет аккаунта, я хочу Зарегистрироваться

How much to ban the user?
1 hour 1 day 100 years