• РЕБЯТА КТО МОЖЕТ ПОМОГИТЕ
    ОДНОРОДНЫЕ УРАВНЕНИЯ
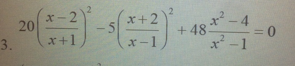
    НА ФОТО ПРИМЕР

    question img

Ответы 6

  • РАСКРЫВ СКОБКИ Я ПОЛУЧИЛ 9х^2 - 23х + 18 = 0 и тут D>0
    • Автор:

      dino
    • 6 лет назад
    • 0
  • 2(x^2-3x+2)=-5(x^2+3x+2)2x^2-6x+4 = -5x^2-15x-107x^2+9x+14=0
    • Автор:

      otismora
    • 6 лет назад
    • 0
  • я не про это действие я про то когда вы подставили 1/10
  • 10(x^2-3x+2)=x^2+3x+210x^2-30x+20=x^2+3x+29x^2-33x+18=0 |:33x^2-11x+6=0
    • Автор:

      maynard
    • 6 лет назад
    • 0
  • а вы разделили на 3 ... всё понятно тогда
  • Решение прицеплено в картинке

    answer img
    • Автор:

      wilmaovoc
    • 6 лет назад
    • 0
  • Добавить свой ответ

Еще вопросы

Войти через Google

или

Забыли пароль?

У меня нет аккаунта, я хочу Зарегистрироваться

How much to ban the user?
1 hour 1 day 100 years