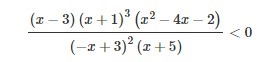
• Решить неравенство

    Нужно свериться... Дано неравенство. Ответ должен быть ( - бесконечность, -5) , (-1, 2 - корень из 6) , (3, 2 + корень из 6)

    Но у меня возник вопрос, мы там разве знак не поменяли (из-за (3-х) )? И находить разве нужно не "больше нуля", вместо меньше... Был бы очень благодарен за помощь!!!

    question img

Ответы 7

  • спасибо!!! Только вот вопрос возник, это метод интервалов. Почему крайний правый - минус? Вроде с + начинаем...от чего эт зависит?
    • Автор:

      gildaokwe
    • 6 лет назад
    • 0
  • мы должны взять любое число с этого интервала от минус беск, до -5 и подставить вместо х
    • Автор:

      haiden75
    • 6 лет назад
    • 0
  • и там будет видно какой знак нужно ставить
    • Автор:

      kujo2q24
    • 6 лет назад
    • 0
  • зрение поводит(((( не видела, что ( х+1) в треьей степени. перерешаю
  • та ниче, бывает
    • Автор:

      emery74
    • 6 лет назад
    • 0
  • решение во вложении....
    answer img
  • знак меняться не будет там минус перед х

    answer img
    • Автор:

      manuel
    • 6 лет назад
    • 0
  • Добавить свой ответ

Войти через Google

или

Забыли пароль?

У меня нет аккаунта, я хочу Зарегистрироваться

How much to ban the user?
1 hour 1 day 100 years