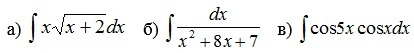
• Помогите решить ПОЖАЛУЙСТА,нужно срочно сдать контрольную

    question img
    question img

Ответы 2

  • Найти производные первого порядка данных функций.
  • Не поняла, что делать с первым фото. Если объясните, то добавлю фото.
    answer img
    • Автор:

      miahrvgp
    • 6 лет назад
    • 0
  • Добавить свой ответ

Войти через Google

или

Забыли пароль?

У меня нет аккаунта, я хочу Зарегистрироваться

How much to ban the user?
1 hour 1 day 100 years