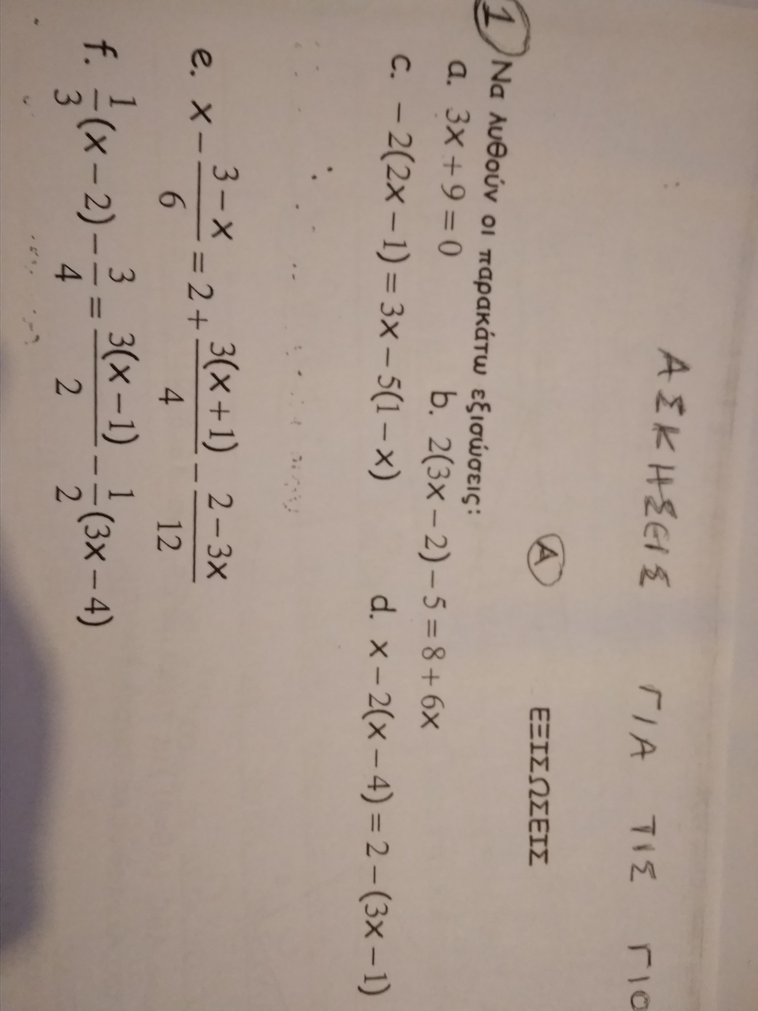
• Помогите пожалуйста!!! Решите И отправьте вашы действия!!!! Умоляю

    question img

Ответы 2

  • 1)3х+9=03х=-9х=-9/3х=-3
    • Автор:

      mangojoza
    • 6 лет назад
    • 0
  • Решение на вложениях
    answer img
  • Добавить свой ответ

Войти через Google

или

Забыли пароль?

У меня нет аккаунта, я хочу Зарегистрироваться

How much to ban the user?
1 hour 1 day 100 years