• Помогите пожалуйста не могу решить

    Вычислить интегралы:
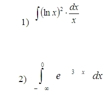
    1) неопределенный интеграл
    2) несобственный интеграл

    question img

Ответы 2

  • По началу всё кажется запутано, но если разобраться, то всё очень просто!

    1) ∫(lnx)²· dx/x → Подводим функцию 1/x под знак дифференциала, по таблицам интегрирования мы знаем, что ∫(1/x)dx = lnx. → получаем ∫(lnx)²·d(lnx)  → далее для интегрирования принимаем тот факт, что мы интегрируем уже не по х, а по lnx, мысленно меняем lnx на x, и получаем простой интеграл ∫x²dx = x³/3. Но главное не забыть поменять всё назад, и получим ответ: (lnx)³/3.

    2) В этом интеграле всё очень похоже, мы знаем интеграл ∫eˣdx = eˣ, но у нас в условии не eˣ, a e³ˣ, чтобы проинтегрировать такой интеграл, нам нужно возле дифференицала получить цифру 3, дабы получилось следующее уравнение: ∫e³ˣd(3x), чтобы получить интеграл такого вида нам нужно умножить интеграл на 3 И поделить его на 3, поскольку мы не можем взять тройку из ниоткуда, нам нужно проделать такую операцию, в итоге: 1/3∫e³ˣd(3x) и по предыдущему примеру находим такой интеграл → 1/3e³ˣ. Но не забываем подставить границы. Подставляем вместо х 0 и получаем:

    e⁰ = 1  значит весь интеграл равен: 1/3*1

    Подставляем -∞:

    e^(-∞) = 0 значит весь интеграл равен: 1/3*0 = 0.

    Получаем, что наш интеграл ∫e³ˣdx в пределах от -∞ до 0 равен: 1/3 - 0 = 1/3.

    Извините, что много букв, пытался объяснить как можно подробней.

  • 1)\; \; \int (lnx)^2\cdot \frac{dx}{x}=\int (lnx)^2\cdot d(lnx)=[\, t=lnx,\; dt=\frac{dx}{x}\; ]=\int t^2\cdot dt=\\\\=\frac{t^3}{3}+C=\frac{ln^3x}{3}+C=\frac{(lnx)^3}{3}+C\\\\\\2)\; \; \int\limits^0_{-\infty }\, e^{3x}\, dx=\lim\limits _{A \to -\infty}\, \int\limits^0_{A}\, e^{3x}\, dx=\lim\limits _{A \to -\infty}\, (\frac{1}{3}\cdot e^{3x})\, \Big |_{A}^0=\\\\=\frac{1}{3}\cdot \lim\limits_{A \to -\infty}\, (1-\underbrace {e^{3A}}_{\to 0})=\frac{1}{3}\cdot (1-0)=\frac{1}{3}\; \; \; sxoditsya

  • Добавить свой ответ

Войти через Google

или

Забыли пароль?

У меня нет аккаунта, я хочу Зарегистрироваться

How much to ban the user?
1 hour 1 day 100 years