• Пожалуйста помогите с решением, желательно полным. Сам не могу решить

    Вычислить интегралы:
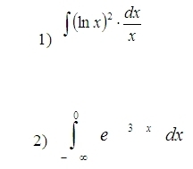
    1) неопределенный интеграл
    2) несобственный интеграл

    question img

Ответы 2

  • Спасибо!
    • Автор:

      taylor764
    • 6 лет назад
    • 0
  • 1)\; \; \int (lnx)^2\cdot \frac{dx}{x}=\int (lnx)^2\cdot d(lnx)=[\, t=lnx,\; dt=\frac{dx}{x}\; ]=\int t^2\cdot dt=\\\\=\frac{t^3}{3}+C=\frac{ln^3x}{3}+C=\frac{(lnx)^3}{3}+C\\\\\\2)\; \; \int\limits^0_{-\infty }\, e^{3x}\, dx=\lim\limits _{A \to -\infty}\, \int\limits^0_{A}\, e^{3x}\, dx=\lim\limits _{A \to -\infty}\, (\frac{1}{3}\cdot e^{3x})\, \Big |_{A}^0=\\\\=\frac{1}{3}\cdot \lim\limits_{A \to -\infty}\, (1-\underbrace {e^{3A}}_{\to 0})=\frac{1}{3}\cdot (1-0)=\frac{1}{3}\; \; \; sxoditsya

    • Автор:

      oz
    • 6 лет назад
    • 0
  • Добавить свой ответ

Войти через Google

или

Забыли пароль?

У меня нет аккаунта, я хочу Зарегистрироваться

How much to ban the user?
1 hour 1 day 100 years