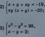
• СРОЧНО!!! ДАЮ 100 БАЛЛОВ!! Помогите пожалуйста решить системы уравнений. С подробным решением.

    question img

Ответы 4

  • спасибо))
  • спасибо большое)
    • Автор:

      gretawolf
    • 6 лет назад
    • 0
  • решение второй системы на фотографии

    answer img
    • Автор:

      alivia
    • 6 лет назад
    • 0
  • второе я не стал делать вот первое

    answer img
  • Добавить свой ответ

Войти через Google

или

Забыли пароль?

У меня нет аккаунта, я хочу Зарегистрироваться

How much to ban the user?
1 hour 1 day 100 years