• Помогите!! алгебра.... нужно найти указанные пределы.. даю все баллы, что есть..

    question img

Ответы 1

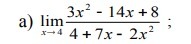
  • lim(x - > 4) \frac{3 {x}^{2} - 14x + 8 }{4 + 7x - 2 {x}^{2} }  =  | \frac{0}{0} |  = lim(x -  > 4) \frac{(x - 4)( x -  \frac{2}{3}) }{(x +  \frac{1}{2})(x - 4) }  = lim(x -  > 4) \frac{x -  \frac{2}{3} }{x +  \frac{1}{2} }  =  \frac{4  -   \frac{2}{3} }{4 +  \frac{1}{3} }  =  \frac{10}{3}  \times  \frac{3}{13}  =  \frac{10}{13}
    • Автор:

      johnathon
    • 6 лет назад
    • 0
  • Добавить свой ответ

Войти через Google

или

Забыли пароль?

У меня нет аккаунта, я хочу Зарегистрироваться

How much to ban the user?
1 hour 1 day 100 years