• Помогите.. нужно найти указанные пределы.. даю все баллы, что есть! Пожалуйста!!

    question img

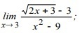
Ответы 1

  • решение на фотографии
    answer img
  • Добавить свой ответ

Войти через Google

или

Забыли пароль?

У меня нет аккаунта, я хочу Зарегистрироваться

How much to ban the user?
1 hour 1 day 100 years