• Помогите с алгеброй, умоляю!!

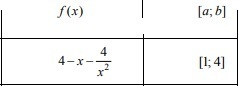
    Найти наибольшее и наименьшее значения функции y = f (x) на отрезке [a; b]

    question img

Ответы 1

  • Находим производную функции:

    (4 - x - \frac{4}{x^{2}})' = -1 + \frac{8}{x^{3} }

    Приравниваем к 0:

    -1 + \frac{8}{x^{3} } = 0\\x^{3} = 8\\x = 2

    x = 2 входит в данный промежуток [1;4]

    Значит, ищем значения функции f(1); f(2); f(4);

    f(1) = -1\\f(2) = 1\\f(4) = -0.25\\

    Наибольшее значение функции на промежутке [1;4]: 1

    Наименьшее значение функции на промежутке [1;4]: -1

  • Добавить свой ответ

Еще вопросы

Войти через Google

или

Забыли пароль?

У меня нет аккаунта, я хочу Зарегистрироваться

How much to ban the user?
1 hour 1 day 100 years