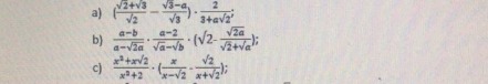
• помогите , алгебра 8 класс ответ в листочке присылать сфоткать

    question img

Ответы 3

  • спасибо
    • Автор:

      blesa
    • 6 лет назад
    • 0
  • пожалуйста
  • !!!!!!!!!!!!!!!!!!!!!!!!!!!!!!!!!!!!!!!!!!1

    answer img
  • Добавить свой ответ

Войти через Google

или

Забыли пароль?

У меня нет аккаунта, я хочу Зарегистрироваться

How much to ban the user?
1 hour 1 day 100 years