• Помогите с алгеброй! Даю 100 баллов..

    нужно Решить систему уравнений: 1 методом Крамера; 2) средствами матричного исчисления ; 3) методом Гаусса. вычисления проводить с обычными дробями, не используя десятичных приближений


    первым етодом пробовала, определитель получила равный нулю... а дальше не понимаю!

    question img
    question img

Ответы 4

  • то есть это и есть решение? я читала, что система не может быть решена методом Крамера, т.к. определитель основной матрицы равен нулю...
    • Автор:

      lexiyrgx
    • 6 лет назад
    • 0
  • если решать другим методом, ответ получится тот же? подскажи, прошу..(
  • каким образом не решай систему уравнений - ответы должны быть одинаковые)) это как бы введение)) ну и определитель матрицы не равен нулю тут.. как у вас так получается я даже смотреть не хочу..
    • Автор:

      chan
    • 6 лет назад
    • 0
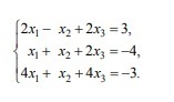
  • Решить следующую систему линейных уравнений методом Крамера:

     

    2 ·x1

    +  

    0 ·x2

    +  

    0 ·x3

    =  

    3

    0 ·x1

    +  

    0 ·x2

    +  

    2 ·x3

    =  

    −4

    4 ·x1

    +  

    0 ·x2

    +  

    4 ·x3

    =  

    −3

    Запишем ее в матричной форме: Ax=b, где

    A=  

    2  

    0  

    0

    0  

    0  

    2

    4  

    0  

    4

    , b=  

    3

    −4

    −3

    Шаг 0:

    Найдем определитель матрицы A:

    A=  

    2  

    0  

    0

    0  

    0  

    2

    4  

    0  

    4

    Для вычисления определителя матрицы, приведем матрицу к верхнему треугольному виду.

    Выбираем самый большой по модулю ведущий элемент столбца 1. Для этого меняем местами строки 1 и 3. При этом меняется знак определителя на "-".

    4  

    0  

    4

    0  

    0  

    2

    2  

    0  

    0

    Исключим элементы 1-го столбца матрицы ниже главной диагонали. Для этого сложим строку 3 со строкой 1, умноженной на -2/4:

    4  

    0  

    4

    0  

    0  

    2

    0  

    0  

    −2

    Невозможно выбрать ненулевой ведущий элемент на столбце 2. Следовательно определитель матрицы A равен нулю: Δ==0.

    • Автор:

      dearey
    • 6 лет назад
    • 0
  • Добавить свой ответ

Войти через Google

или

Забыли пароль?

У меня нет аккаунта, я хочу Зарегистрироваться

How much to ban the user?
1 hour 1 day 100 years