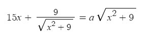
• Найдите все значения параметра а, при каждом из которых уравнение имеет хотя бы один корень.

    question img

Ответы 2

  • нет, решение не верное, с ответом не совпадает
    • Автор:

      irene81
    • 6 лет назад
    • 0
  • a любое значение уравнение имеет корен ,а=1 , x=0
  • Добавить свой ответ

Войти через Google

или

Забыли пароль?

У меня нет аккаунта, я хочу Зарегистрироваться

How much to ban the user?
1 hour 1 day 100 years