• Помогите пожалуйста не могу решить задачу


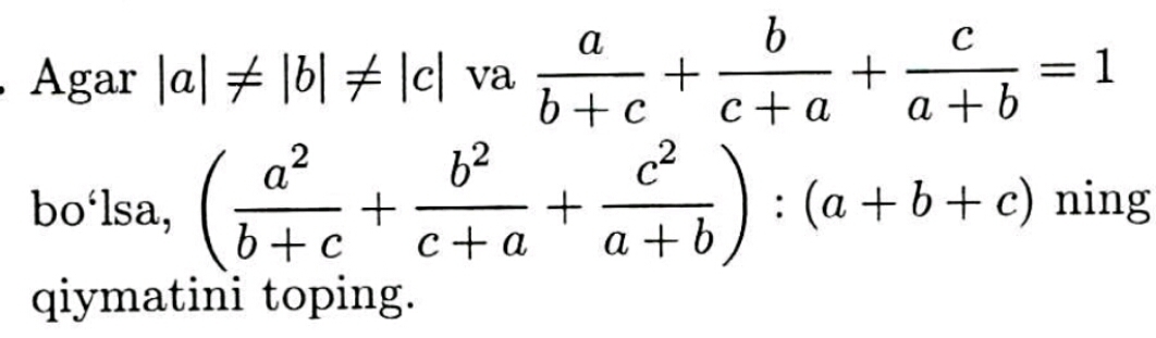
    На русском будет так, если |a|≠|b|≠|c| и a/(b+c) + b/(c+a)+c/(a+b)=1 то найти значение выражения (a^2/(b+c)+b^2/(c+a)+c^2/(a+b))÷(a+b+c)

    question img

Ответы 3

  • Спасибо, объясни подробнее ты умножал первое равенство на a+b+c, потом ты из первое равенство получил (Вот это выражение не понял, как ты это получил) a^2/(b+c) + a + b^2/(c+a) + c^2/(a+b) +c =a+b+c. Подробнее пожалуйста, я должен объяснить учителю как это вышло?
  • Всё дошло огромное спасибо, эту задачу не мог решить 2 дня
    • Автор:

      maddox
    • 6 лет назад
    • 0
  • Пусть a+b+c≠0, на него умножаем первое равенство

    a(a+b+c)/(b+c) + b(a+b+c)/(c+a) + c(a+b+c)/(a+b) = a+b+c

    a^2/(b+c) + a + b^2/(c+a) + b + c^2/(a+b) +c = a+b+c

    a+b+c слева и справа сокращаются, остается

    a^2/(b+c) + b^2/(c+a) + c^2/(a+b) = 0

    т.к. a+b+c≠0, то

    ( a^2/(b+c) + b^2/(c+a) + c^2/(a+b) ) / (a+b+c) = 0

  • Добавить свой ответ

Войти через Google

или

Забыли пароль?

У меня нет аккаунта, я хочу Зарегистрироваться

How much to ban the user?
1 hour 1 day 100 years