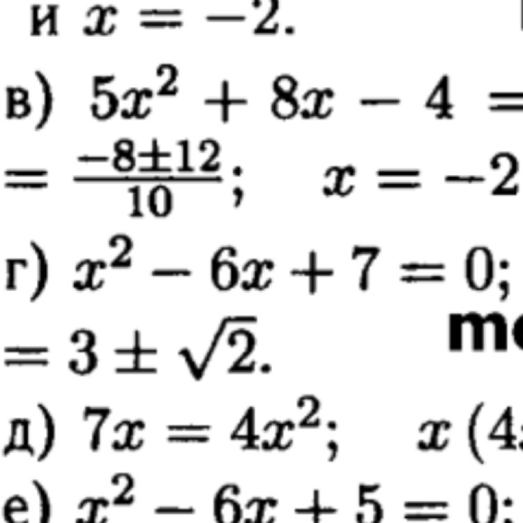
• Х^2-6х+7=0
    Решите по формуле дискриминанта

    question img

Ответы 1

  • D=b^2-4ac

    x1=-b-√d/2a

    x2=-b+√d/2a

    a=1 b=-6 c=7

    дальше подставляй и решай

    • Автор:

      dorsey
    • 6 лет назад
    • 0
  • Добавить свой ответ

Еще вопросы

Войти через Google

или

Забыли пароль?

У меня нет аккаунта, я хочу Зарегистрироваться

How much to ban the user?
1 hour 1 day 100 years