• Помогите пожалуйста, можно побыстрей зараннее спасибо

    question img

Ответы 2

  • Смотри................

    answer img
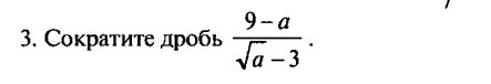
  •  \frac{9 - a}{ \sqrt{a} - 3 }  =  \frac{(3 -  \sqrt{a} )(3 +  \sqrt{a} )}{ \sqrt{a} - 3 }  =  \frac{ - ( \sqrt{a} - 3)(3 +  \sqrt{a})  }{ \sqrt{a}  - 3}  =  - (3 +  \sqrt{a} ) =  - 3 -  \sqrt{a}
    answer img
  • Добавить свой ответ

Еще вопросы

Войти через Google

или

Забыли пароль?

У меня нет аккаунта, я хочу Зарегистрироваться

How much to ban the user?
1 hour 1 day 100 years