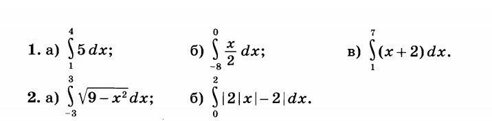
• Пользуясь геометрическим смыслом определенного интеграла, вычислите.

    Не понимаю как работать с графиком.. как чертить и т. п.

    question img

Ответы 1

  • При решении данных заданий нужно использовать и применять знания построения графиков функций и уравнений. Т. е. не используем таблицу интегралов, а вспоминаем формулы площадей различных фигур: треугольника, прямоугольника, трапеции, окружности. См. приложение.

    answer img
    • Автор:

      ramsey
    • 6 лет назад
    • 0
  • Добавить свой ответ

Войти через Google

или

Забыли пароль?

У меня нет аккаунта, я хочу Зарегистрироваться

How much to ban the user?
1 hour 1 day 100 years