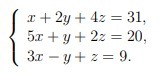
• Дана система трех линейных уравнений с тремя неизвестными. Требуется записать систему в матричной форме и решить ее средствами матричного исчисления.

    question img

Ответы 1

  • Ответ во вложении...
    answer img
    • Автор:

      shaffer
    • 6 лет назад
    • 0
  • Добавить свой ответ

Войти через Google

или

Забыли пароль?

У меня нет аккаунта, я хочу Зарегистрироваться

How much to ban the user?
1 hour 1 day 100 years