• помогите плз решить, даю 50 баллов, последовательное решению

    question img

Ответы 2

  • спасибо огромное
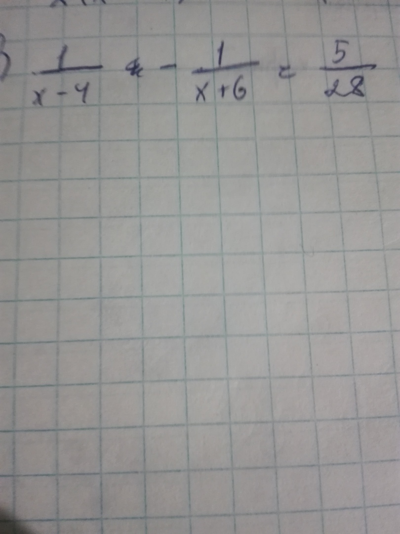
  • Сначала приводим дроби в левой части уравнения к общему знаменателю, который в данном случае будет равен ( Х - 4 ) * ( Х + 6 ), для этого умножим числитель первой дроби на ( Х + 6 ), а числитель второй дроби на ( Х - 4 ).

    Таким образом левую часть данного равенства можно упростить вот таким образом

    1 / ( Х - 4 ) - 1 / ( Х + 6 ) = [( Х + 6 ) - ( Х - 4 )] / [( Х - 4 ) * ( Х + 6 )] = 10 / [( Х - 4 ) * ( Х + 6 )]

    Правую же часть равенства можно преобразовать так, чтобы в числителе дроби получить 10, так же, как получилось после после преобразования в левой части равенства, а значит

    5 / 28 = 10 / 56

    Так как числители полученных дробей стали равны, то для равенства всего выражения должны быть равны и знаменатели дробей, а значит можно составить новое уравнение:

    ( Х - 4 ) * ( Х + 6 ) = 56

    Х² - 4Х + 6Х - 24 - 56 = 0

    Х² + 2Х - 80 = 0

    Теперь решаем полученное квадратное уравнение:

    сначала найдем дискриминант по формуле D = b² - 4ac:

    D = 4 + 4 * 1 * 80 = 4 + 320 = 324

    D > 0, тогда уравнение имеет 2 корня, находим их по формуле:

    Х1 = ( -b + √D ) / 2a

    Х1 = ( -2 + 18 ) / 2 = 8

    Х2 = ( -b - √D ) / 2a

    Х2 = ( -2 - 18 ) / 2 = -10

    • Автор:

      matthews
    • 6 лет назад
    • 0
  • Добавить свой ответ

Еще вопросы

Войти через Google

или

Забыли пароль?

У меня нет аккаунта, я хочу Зарегистрироваться

How much to ban the user?
1 hour 1 day 100 years