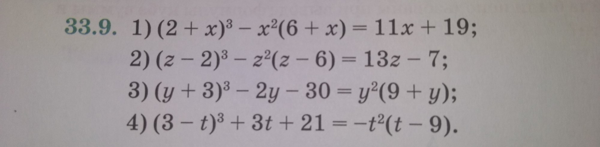
• Решите Уравнение. (33.9);
    Помогите Пожалуйста
    Срочно

    question img

Ответы 2

  • спасибо большое
    • Автор:

      hoochhjoc
    • 6 лет назад
    • 0
  • ===============================

    answer img
    • Автор:

      king18
    • 6 лет назад
    • 0
  • Добавить свой ответ

Войти через Google

или

Забыли пароль?

У меня нет аккаунта, я хочу Зарегистрироваться

How much to ban the user?
1 hour 1 day 100 years