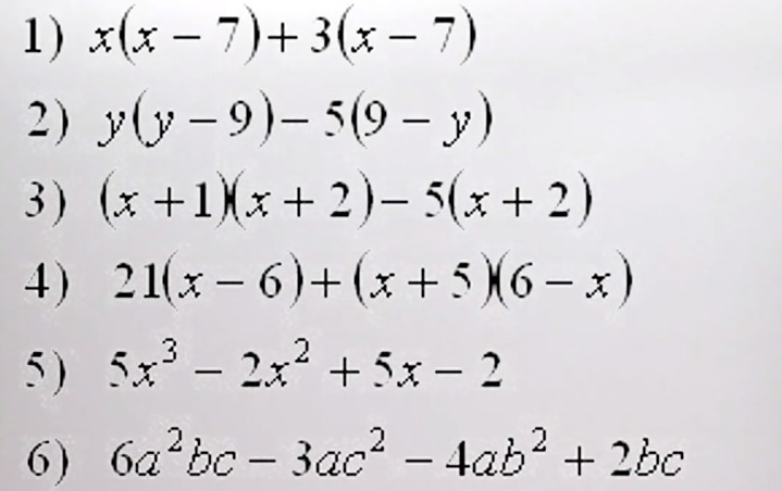
• Тема: Разложение многочленов на множители методом группировки
    Помогите решить, пожалуйста!
    Даю 30 баллов.

    question img

Ответы 6

  • А можете написать с решением?
    • Автор:

      stark
    • 6 лет назад
    • 0
  • Есть приложение Photomath там на пример наводишь и он его решает) хорошая штука, попробуй
  • Хорошо, спасибо!
    • Автор:

      simba79
    • 6 лет назад
    • 0
  • 6) неверно
    • Автор:

      dinkylyau
    • 6 лет назад
    • 0
  • 1. (х-7)(х+3)2. (у-9)(у+5)3. (х+2)(х-4)4. (х-6)(16-х)5. (5х-2)(х^2+1)6. а(6аbc-3c^2-4b^2y)
    • Автор:

      frederick
    • 6 лет назад
    • 0
  • Решение задания приложено

    answer img
    • Автор:

      hollyeyda
    • 6 лет назад
    • 0
  • Добавить свой ответ

Войти через Google

или

Забыли пароль?

У меня нет аккаунта, я хочу Зарегистрироваться

How much to ban the user?
1 hour 1 day 100 years