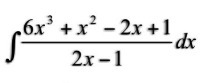
• вычислить интеграл, выделив целую часть дроби и разложив интеграл на сумму более простых интегралов

    question img

Ответы 1

  • \int \frac{6x^3+x^2-2x+1}{2x-1}\, dx=\int (3x^2+2x+\frac{1}{2x-1})dx=\\\\=\int 3x^2\, dx+\int 2x\, dx+\int \frac{dx}{2x-1}dx=x^3+x^2+\frac{1}{2}\cdot ln|2x-1|+C

  • Добавить свой ответ

Еще вопросы

Войти через Google

или

Забыли пароль?

У меня нет аккаунта, я хочу Зарегистрироваться

How much to ban the user?
1 hour 1 day 100 years