• Упростите
    помгите с дейвствиеми напишите плз

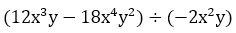
    question img

Ответы 3

  • списала из photomath?)
    • Автор:

      carrasco
    • 6 лет назад
    • 0
  • да, ну за то хотела помочь )
  • ..........................

    answer img
  • Добавить свой ответ

Войти через Google

или

Забыли пароль?

У меня нет аккаунта, я хочу Зарегистрироваться

How much to ban the user?
1 hour 1 day 100 years