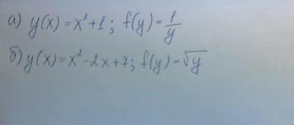
• Задать аналитическое задание сложной функции z=f(y(x)), если:

    question img

Ответы 1

  • a)z=f(y(x))= \frac{1}{x^{3}+1} b)z=f(y(x))= \sqrt{x^{2}-2x+7}
    • Автор:

      aryancje1
    • 2 года назад
    • 9
  • Добавить свой ответ

Войти через Google

или

Забыли пароль?

У меня нет аккаунта, я хочу Зарегистрироваться

How much to ban the user?
1 hour 1 day 100 years