• Даю 40 баллов!Срочно!
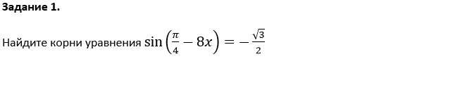
    Найдите корни уравнения sin(pi/4-8x)=-(корень из 3)/2
    Пояснение:не разбивать уравнение на части!
    Использовать формулу во вложении.

    question img
    question img

Ответы 4

  • х под степенью не должно быть, *пи/3
  • Ответ правильный?
    • Автор:

      aldopg1j
    • 6 лет назад
    • 0
  • Ответ на фото Если я не ошиблась должно быть правильно
    answer img
    • Автор:

      beltran
    • 6 лет назад
    • 0
  • \pi /4-8х=(-1)x^{k+1}+2\pi * k\\x=-((-1)x^{k+1}+2\pi * k\\+\pi /4)/8\\

    Дальше преобразования

    answer img
    • Автор:

      lady31
    • 6 лет назад
    • 0
  • Добавить свой ответ

Войти через Google

или

Забыли пароль?

У меня нет аккаунта, я хочу Зарегистрироваться

How much to ban the user?
1 hour 1 day 100 years