• Логарифмическое уравнение


    Не понимаю, почему число -1 вошло в ОДЗ,если мы делаем замену:log_{0,1} x=t, где t>0?

    (по основанию 0,1)

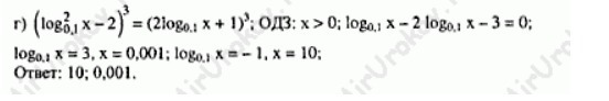
    question img

Ответы 6

  • Потому что основные правила: loga(b) a>0, a не равно 0, b>0
    • Автор:

      gusmack
    • 6 лет назад
    • 0
  • в данном случае x это b
    • Автор:

      nietoow3u
    • 6 лет назад
    • 0
  • Но ведь Вы говорите, что t необязательно >0) Я думала, что x это t
    • Автор:

      joanna
    • 6 лет назад
    • 0
  • нет, t в данном случае это log0,1(x)
    • Автор:

      ashley23
    • 6 лет назад
    • 0
  • хорошо,спасибо
    • Автор:

      rorym2c1
    • 6 лет назад
    • 0
  • t не обязательно больше нуля. по сути t это степень в которую мы возводим основание, то есть мы можем возвести и в степень -2 и в 0,5 и в -2/3

    • Автор:

      salt40
    • 6 лет назад
    • 0
  • Добавить свой ответ

Войти через Google

или

Забыли пароль?

У меня нет аккаунта, я хочу Зарегистрироваться

How much to ban the user?
1 hour 1 day 100 years