• Никак не могу разобраться с решением! Второе ещё осилила, хотя не до конца, а вот первое не получается, помогите плиз! Решите первое

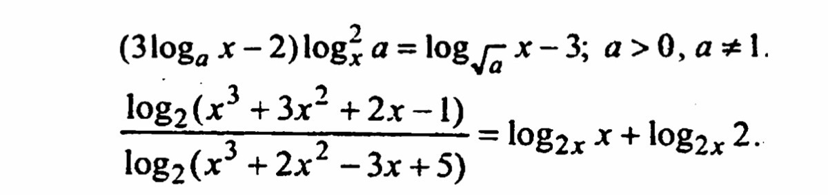
    question img

Ответы 1

  • x>0

    x≠1

    log_{x}a=\frac{1}{log_{a}x} \\ \\log_{\sqrt{a} }x=log_{a^{\frac{1}{2} } }x=2log_{a}x

    Замена переменной

    log_{x}a=t

    (3t -2)\cdot\frac{1}{t^{2} } =2t-3;\\ \\(3t -2)\cdot\frac{1}{t^{2} } -(2t-3)=0\\ \\ \frac{3t-2-2t^{3}+3t^{2}}{t^{2} }=0

    {3t-2-2t³+3t²=0

    {t≠0

    3t+3t²-2(1+t³)=0

    3t(1+t)-2(1+t)(1-t+t²)=0

    (1+t)(3t-2+2t-2t²)=0

    t=-1   или    -2t²+5t-2=0

    -2t²+5t-2=0

    2t²-5t+2=0

    D=9

    t=\frac{1}{2}  или   t=2

    Обратный переход

    logₐx=-1  ⇒ x=a⁻¹⇒x=\frac{1}{a}

    logₐx=\frac{1}{2}   ⇒ x=√a

    logₐx=2  ⇒ x=a²;

    • Автор:

      airesraug
    • 6 лет назад
    • 0
  • Добавить свой ответ

Войти через Google

или

Забыли пароль?

У меня нет аккаунта, я хочу Зарегистрироваться

How much to ban the user?
1 hour 1 day 100 years