• СРОЧНО ДАЮ 100 баллов !!!
    Упростить и решить если а=1,8 !!!!!ПОЖАЛУЙСТА

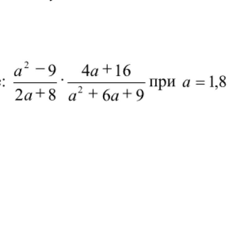
    question img

Ответы 2

  • .......................

    answer img
  • (а–3)(а+3)•4(а+4) 2(а–3) 2(1,8–3)————————— = ———- = ————2(а+4)•(а+3)^2 а+3 1,8+3= 2•(–1,2):4,8 = –0,5
    answer img
  • Добавить свой ответ

Еще вопросы

Войти через Google

или

Забыли пароль?

У меня нет аккаунта, я хочу Зарегистрироваться

How much to ban the user?
1 hour 1 day 100 years