• Помогите, пожалуйста. Тригонометрия

    Получается замкнутый круг из 1 и косинуса в квадрате :D
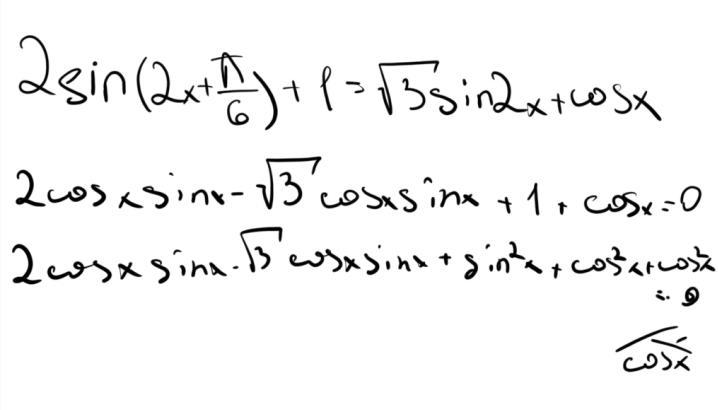
    На подпись в самом низу не обращайте внимания, забыла убрать

    question img

Ответы 3

  • Ох, благодарю!
    • Автор:

      yuliana
    • 6 лет назад
    • 0
  • на фото.....................

    answer img
    • Автор:

      josephine
    • 6 лет назад
    • 0
  • 2(sin2xcosπ/6+sinπ/6cos2x)+1=√3sin2x+cosx

    2sin2x·√3/2+2cos2x·1/2+1=√3sin2x+cosx

    √3sin2x+cos2x+1=√3sin2x+cosx

    cos2x+1-cosx=0

    2cos²x-1+1-cosx=0

    2cos²x-cosx=0

    cosx(2cosx-1)=0

    cosx=0   x=π/2+πn   n принадлежит Z

    2cosx-1=0

    cosx=1/2    x=π/3+2πn   x=-π/3+2πn   n принадлежит Z

    answer img
  • Добавить свой ответ

Еще вопросы

Войти через Google

или

Забыли пароль?

У меня нет аккаунта, я хочу Зарегистрироваться

How much to ban the user?
1 hour 1 day 100 years