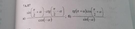
• помогите пожалуйста срочно надо ​тригонометрия или а или б без разницы

    question img

Ответы 1

  • sin(П/2+а)*ctg(П/2-а)/cos(-a)=cos(a)*tan(a)/cos(a)=tan(a)

    tg(П+а) *cos(П/2+а)/sin(-a)=tan(a)*(-sin(a))/-sin(a)=tan(a)

    • Автор:

      happy16
    • 6 лет назад
    • 0
  • Добавить свой ответ

Войти через Google

или

Забыли пароль?

У меня нет аккаунта, я хочу Зарегистрироваться

How much to ban the user?
1 hour 1 day 100 years