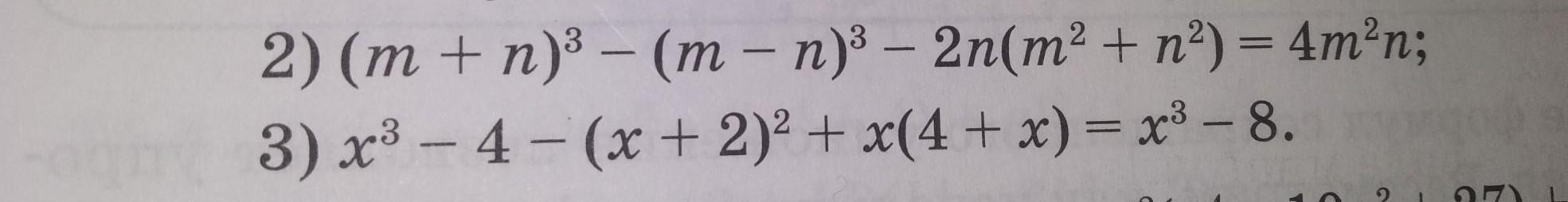
• ДОКАЖИТЕ ТОЖДЕСТВА:
    ПОМОГИТЕ ПОЖАЛУЙСТА СДЕЛАТЬ.
    7 КЛАСС.
    ДАМ 13 БАЛЛОВ
    СРОЧНО!​

    question img

Ответы 2

  • спасибо большое
  • ............................
    answer img
  • Добавить свой ответ

Войти через Google

или

Забыли пароль?

У меня нет аккаунта, я хочу Зарегистрироваться

How much to ban the user?
1 hour 1 day 100 years