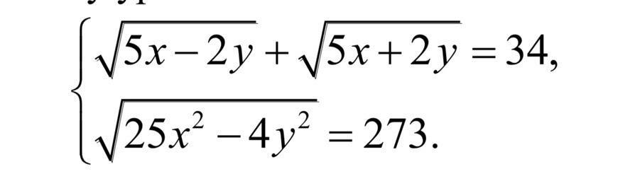
• Решите систему уравнений, 10 класс, пропишите пожалуйста подробно решение.

    question img

Ответы 1

  • {(√(5x-2y)+√(5x+2y))²=34²{√(5x-2y)*√(5x+2y)=273(5x-2y)+2*√(5x-2y)*√(5x+2y)+5x+2y=34²10x+2*273=115610x=1156-54610x=610x=61√(25*61²-4y²)=27325*61²-4y²=273²4y²=93025-74529y²=4624y=±68ODZ5x-2y>0x>2y/55x+2y>0x>-2y/5{x>0,4y{x>-0,4y
    • Автор:

      blair
    • 6 лет назад
    • 0
  • Добавить свой ответ

Еще вопросы

Войти через Google

или

Забыли пароль?

У меня нет аккаунта, я хочу Зарегистрироваться

How much to ban the user?
1 hour 1 day 100 years