• Помогите решить квадратные уравнения. Дам 30 баллов.

    question img

Ответы 1

  • Только ответы:

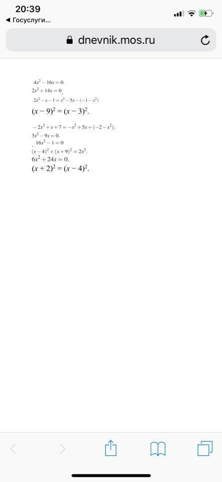
    1). x = 0                x = 4

    2). x = -7               x = 0

    3). x = 0.5

    4). x = 6

    5). x = 2.25

    6). x = 0                x = 3

    7). x = -0.25           x = 0.25

    8). x = -9.7

    9). x = -4                 x = 0

    10). x = 1

    • Автор:

      jared493
    • 6 лет назад
    • 0
  • Добавить свой ответ

Войти через Google

или

Забыли пароль?

У меня нет аккаунта, я хочу Зарегистрироваться

How much to ban the user?
1 hour 1 day 100 years