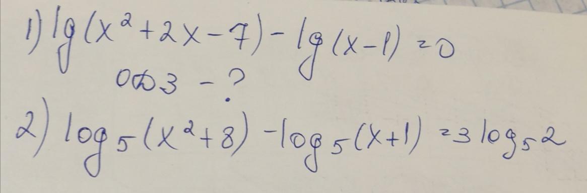
• Написать одз к этим двум уравнениям. Решать не надо.

    question img

Ответы 1

  • Логарифм отрицательного числа и нуля не  существует. Поэтому:

    1) х² +2х -7 > 0        корни трёхчлена -1+-√8      -∞   +  -1-√8   -   -1+√8   +    +∞

       x -1 > 0  ,⇒         х > 1 , ⇒                                      x > 1

    Ответ(-1+√8; + ∞)

    2) х² +8> 0   (при любом "х")

        х + 1 > 0  , ⇒  x > -1

    Ответ: х ∈(-1;  + ∞)

  • Добавить свой ответ

Войти через Google

или

Забыли пароль?

У меня нет аккаунта, я хочу Зарегистрироваться

How much to ban the user?
1 hour 1 day 100 years