• Решить уравнение.
    .....................................

    question img

Ответы 1

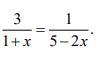
  • 15-6х=1+х

    -7х=-14

    х=2

    Ответ: х=2

    • Автор:

      bella5
    • 6 лет назад
    • 0
  • Добавить свой ответ

Войти через Google

или

Забыли пароль?

У меня нет аккаунта, я хочу Зарегистрироваться

How much to ban the user?
1 hour 1 day 100 years